在 $\LaTeX$ 排版过程中,多行公式经常被遇到。其中,又分为多种情况
- 公式本身很长
- 公式组
- 需加定界符,如花括号
{
- 需加定界符,如花括号
首先,在导言区加载 amsmath
\usepackage{amsmath}
常用多行公式环境对比
| 环境名称 | 主要用途 | 对齐支持 | 默认编号 | 备注 |
|---|---|---|---|---|
equation | 单行公式 | × | √ | 最基础,不可换行 |
multline | 超长公式折行 | × | √ | 首行左对齐,末行右对齐 |
align | 多行公式对齐 | √ (&) | √ | 最推荐,功能最全 |
gather | 多行公式堆叠 | × | √ | 仅居中堆叠,不对齐 |
cases | 分段函数 | √ (&) | √ (整体) | 需配合 numcases 实现逐行编号 |
长公式「被迫」折行
使用 multline 环境,实现首行局左,中间居中,末行局右
\begin{multline}
p = 3x^6 + 14x^5y + 590x^4y^2 + 19x^3y^3\\
+ \sin{x} + \cos{y} + \tan{a} + e^{x+y} \\
- 12x^2y^4 - 12xy^5 + 2y^6 - a^3b^3
\end{multline}
注意: 若不需要编号则使用 multline*
公式并排
分别编号
- 需要对齐
使用 align 环境,在需要对齐的地方加 &
\begin{align}
a & = b + c \label{eq:eq1}
\\[3pt]
& = d + e \label{eq:eq2}
\end{align}
% 分别交叉引用
式 (\ref{eq:eq1}) 和式 (\ref{eq:eq2}) 采用 align 对齐环境
式 (\ref{eq:eq1}) 和式 (\ref{eq:eq2}) 采用 align 对齐环境
- 使用
\notag对某行不编号
\begin{align}
a = {}& b + c \\
= {}& d + e + f + g + h + i + j + k + l \notag \\
&{} + m + n + o \\
= {}& p + q + r + s
\end{align}
注意: 因为此处在 + (二元运算符)处对齐,所以应该在对齐符号 & 前后使用一个占位符 {} 来避免不正确的缩进[1]
- 多列对齐
\begin{align*}
a &=1 & b &=2 & c &=3 \\
d &=-1 & e &=-2 & f &=-5
\end{align*}
- 不需要对齐
使用 gather 环境
\begin{gather}
a = b + c \\
d = e + f + g \\
h + i = j + k \notag \\
l + m = n
\end{gather}
注意: 若不需要编号则使用 align* 或 gather*
统一编号
使用 aligned / gathered 环境,并且依赖 \begin{equation} \end{equation},若不须加编号则使用\[ \]包裹。
\begin{equation}
\begin{aligned}
a &= b + c \\
d &= e + f + g \\
h + i &= j + k \\
l + m &= n
\end{aligned}
\end{equation}
\[
\begin{gathered}
a = b + c \\
d = e + f + g \\
h + i = j + k \\
l + m = n
\end{gathered}
\]
带编号且对齐
不带编号不对齐
添加定界符
有时需要在多行公式中添加定界符,最常用的就是在公式左端加上花括号 {,下面介绍 3 种方法实现该功能。
实际上,除了 cases 环境,其他方法都可以实现其他定界符,尤其是最后一种。
\left\{ \right.aligned / gathered
\begin{equation} \left\{ \begin{gathered} a_{11} x_{1} + a_{12} x_{2} + a_{13} x_{2} = b_{1} \\[3pt] a_{21} x_{1} + a_{22} x_{3} + a_{23} x_{3} = b_{2} \end{gathered} \right. \end{equation} \[ \left\{ \begin{aligned} a_{11} x_{1} + a_{12} x_{2} + a_{13} x_{2} = b_{1} \\[3pt] a_{22} x_{3} + a_{23} x_{3} = b_{2} \end{aligned} \right. \]不对齐带编号
\begin{equation} \left\{ \begin{gathered} a_{11} x_{1} + a_{12} x_{2} + a_{13} x_{2} = b_{1} \\[3pt] a_{21} x_{1} + a_{22} x_{3} + a_{23} x_{3} = b_{2} \end{gathered} \right. \end{equation}对齐不带编号\[ \left\{ \begin{aligned} a_{11} x_{1} + a_{12} x_{2} + a_{13} x_{2} = b_{1} \\[3pt] a_{22} x_{3} + a_{23} x_{3} = b_{2} \end{aligned} \right. \]array环境[2]
\[ |x| = \left\{ \begin{array}{rl} -x & \mbox{if } x < 0,\\ 0 & \mbox{if } x = 0,\\ x & \mbox{if } x > 0. \end{array} \right. \]\[ |x| = \left\{ \begin{array}{rl} -x & \mbox{if } x < 0,\\ 0 & \mbox{if } x = 0,\\ x & \mbox{if } x > 0. \end{array} \right. \]cases环境[3]- 分别编号
需要在导言区载入cases宏包\usepackage{cases},并且放在amsmath之后
\begin{numcases} {|x| =} -x & \mbox{if } x < 0 \label{eq:eq1},\\ 0 & \mbox{if } x = 0,\\ x & \mbox{if } x > 0. \end{numcases} \begin{subnumcases} {\label{eq:eq4} |x| =} -x & \mbox{if } x < 0,\\ 0 & \mbox{if } x = 0\label{eq:eq42},\\ x & \mbox{if } x > 0. \end{subnumcases} 式 (\ref{eq:eq1}) 和 式 (\ref{eq:eq4}) 和 式 (\ref{eq:eq42})- 统一编号
\begin{equation} |x| = \begin{cases} -x & \mbox{if } x < 0,\\ 0 & \mbox{if } x = 0,\\ x & \mbox{if } x > 0. \end{cases} \end{equation}\begin{equation} |x| = \begin{cases} -x & \mbox{if } x < 0,\\ 0 & \mbox{if } x = 0,\\ x & \mbox{if } x > 0. \end{cases} \end{equation}注意与
array环境的区别- 分别编号
empheq环境
其与之前的都不同,它可以从整个公式(组)四周加载定界符[5]。从左端、从右端,甚至是用一个盒子包住整个公式(组)
首先在 导言区 载入 \usepackage{empheq}。使用它的框架是这样:
\usepackage{empheq}
\begin{empheq}[markup instructions]{AMS env name}
< content AMS environment >
\end{empheq}
◎ AMS env name对于 定界符号,可以在 markup instructions 处填入下表中的命令
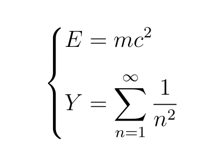
◎ markup instructions\begin{empheq}[left=\empheqlbrace]{align*}
E & =mc^2
\\[3pt]
Y & = \sum_{n=1}^\infty \frac{1}{n^2}
\end{empheq}
◎ left=\empheqlbraceempheq 环境还可以实现以下效果,感兴趣的可以看下官方文档5
https://geelaw.blog/entries/la-composition-soignee-des-formules-mathematiques/#mistakes-latex-align-env
array环境经常出现在多维数组中
https://mirror.bjtu.edu.cn/ctan/macros/latex/required/tools/array.pdfcases环境 http://mirror.lzu.edu.cn/CTAN/macros/latex/contrib/cases/cases.pdfa way to produce arbitrary delimiters that span entire math displays
http://mirror.lzu.edu.cn/CTAN/macros/latex/contrib/mathtools/empheq.pdf ↩︎
